Thị trường chứng quyền tuần 23-27/06/2025: Khối lượng giao dịch tăng hơn 40%
Kết thúc phiên giao dịch ngày 20/06/2025, toàn thị trường có 61 mã tăng, 126 mã giảm và 46 mã tham chiếu. Khối ngoại tiếp tục bán ròng với tổng mức bán ròng đạt 2.86 triệu CW.
I. DIỄN BIẾN THỊ TRƯỜNG CHỨNG QUYỀN
Kết thúc phiên giao dịch ngày 20/06/2025, toàn thị trường có 61 mã tăng, 126 mã giảm và 46 mã tham chiếu.
Độ rộng thị trường trong 20 phiên gần nhất. Đvt: Phần trăm
Nguồn: VietstockFinance
Trong phiên giao dịch ngày 20/06/2025, bên bán tiếp tục lấn lướt thị trường khiến phần lớn các mã chứng quyền giảm giá. Cụ thể, các mã chứng quyền lớn trong nhóm giảm giá là CVIC2405, CVHM2406, CSTB2409 và CVPB2513.
Nguồn: VietstockFinance
Khối ngoại tiếp tục bán ròng trong phiên 20/06 với tổng mức bán ròng đạt 2.86 triệu CW. Trong đó, CSSB2502 và CHPG2511 là hai mã bị bán ròng nhiều nhất. Tính cho cả tuần, khối ngoại bán ròng hơn 3.3 triệu CW.
Công ty chứng khoán SSI, ACBS, KIS, HCM và VCI hiện đang là các tổ chức phát hành có nhiều mã chứng quyền nhất thị trường.
Nguồn: VietstockFinance
II. THỐNG KÊ THỊ TRƯỜNG
Nguồn: VietstockFinance
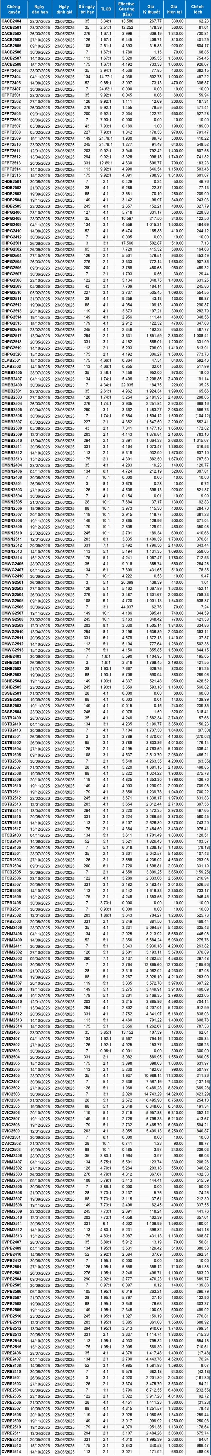
III. ĐỊNH GIÁ CÁC CHỨNG QUYỀN
Dựa trên phương pháp định giá phù hợp với thời điểm khởi đầu là ngày 23/06/2025, mức giá hợp lý của các chứng quyền đang được giao dịch trên thị trường được thể hiện như sau:
Nguồn: VietstockFinance
Lưu ý: Chi phí cơ hội trong mô hình định giá được điều chỉnh để phù hợp với thị trường Việt Nam. Cụ thể, lãi suất tín phiếu phi rủi ro (tín phiếu Chính Phủ) sẽ được thay thế bằng lãi suất tiền gửi trung bình của các ngân hàng lớn với sự hiệu chỉnh kỳ hạn phù hợp với từng loại chứng quyền.
Theo định giá trên, CVIC2502 và CVIC2503 hiện là hai mã chứng quyền có mức định giá hấp dẫn nhất.
Những mã chứng quyền có effective gearing càng cao thì biến động tăng/giảm theo chứng khoán cơ sở sẽ càng lớn. Hiện CMWG2506 và CMWG2501 là hai mã chứng quyền có tỷ lệ effective gearing cao nhất thị trường.
Bạn muốn trở thành VIP/PRO trên 24HMONEY?
Bấm vào đây để liên hệ 24HMoney ngay

Bàn tán về thị trường