Thị trường chứng quyền ngày 06/08/2025: Tâm lý lạc quan vẫn hiện hữu
Kết thúc phiên giao dịch ngày 05/08/2025, toàn thị trường có 193 mã tăng, 34 mã giảm và 19 mã tham chiếu. Khối ngoại tiếp tục bán ròng với tổng mức bán ròng đạt 357,300 CW.
I. DIỄN BIẾN THỊ TRƯỜNG CHỨNG QUYỀN
Kết thúc phiên giao dịch ngày 05/08/2025, toàn thị trường có 193 mã tăng, 34 mã giảm và 19 mã tham chiếu.
Độ rộng thị trường trong 20 phiên gần nhất. Đvt: Phần trăm
Nguồn: VietstockFinance
Trong phiên giao dịch ngày 05/08/2025, bên mua tiếp tục dẫn dắt thị trường khiến phần lớn các mã chứng quyền tăng giá. Cụ thể, các mã chứng quyền lớn trong nhóm tăng giá là CVIC2502, CVHM2502, CVPB2513 và CSTB2515.
Nguồn: VietstockFinance
Khối ngoại tiếp tục bán ròng trong phiên 05/08 với tổng mức bán ròng đạt 357,300 CW. Trong đó, CHPG2514 và CHPG2515 là hai mã bị bán ròng nhiều nhất.
Công ty chứng khoán SSI, ACBS, HCM, KIS và VPBankS hiện đang là các tổ chức phát hành có nhiều mã chứng quyền nhất thị trường.
Nguồn: VietstockFinance
II. THỐNG KÊ THỊ TRƯỜNG
Nguồn: VietstockFinance
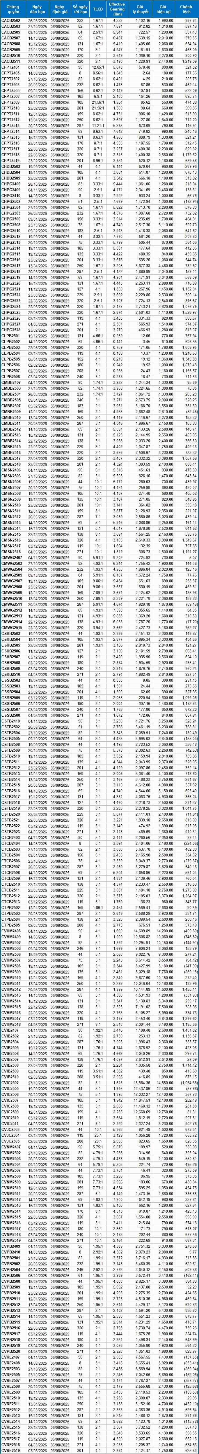
lII. ĐỊNH GIÁ CÁC CHỨNG QUYỀN
Dựa trên phương pháp định giá phù hợp với thời điểm khởi đầu là ngày 06/08/2025, mức giá hợp lý của các chứng quyền đang được giao dịch trên thị trường được thể hiện như sau:
Nguồn: VietstockFinance
Lưu ý: Chi phí cơ hội trong mô hình định giá được điều chỉnh để phù hợp với thị trường Việt Nam. Cụ thể, lãi suất tín phiếu phi rủi ro (tín phiếu Chính Phủ) sẽ được thay thế bằng lãi suất tiền gửi trung bình của các ngân hàng lớn với sự hiệu chỉnh kỳ hạn phù hợp với từng loại chứng quyền.
Theo định giá trên, CVIC2502 và CVHM2409 hiện là hai mã chứng quyền có mức định giá hấp dẫn nhất.
Những mã chứng quyền có effective gearing càng cao thì biến động tăng/giảm theo chứng khoán cơ sở sẽ càng lớn. Hiện CVRE2514 và CMWG2407 là hai mã chứng quyền có tỷ lệ effective gearing cao nhất thị trường.
Bộ phận Phân tích Kinh tế & Chiến lược Thị trường, Phòng Tư vấn Vietstock
FILI
Bạn muốn trở thành VIP/PRO trên 24HMONEY?
Bấm vào đây để liên hệ 24HMoney ngay

Bàn tán về thị trường